Salarii și de 20.000 lei/lună pentru medicii din Botoșani care au lăsat o mămică cu 3 copii să moară
Salarii și de 20.000 lei/lună pentru medicii care au lăsat o mamă cu 3 copii să moară. Medicii de la Spitalul Judeţean Mavromati Botoşani nu au intervenit și nu au operat-o de urgență. Tânăra a cerut acest lucru motivând dureri mari, dar a fost ignorată.
Pe 18 august, la ora 7:30, tânăra a prezentat o degradare bruscă a stării de sănătate cu dispnee severă, sângerare abundentă la nivelul căilor aeriene superioare, motiv pentru care a fost transferată la Secția ATI. Femeia se afla la a cincea sarcină, cu trei nașteri naturale și un avort spontan în antecedente.
Citește și: Managerul spitalului unde o mămică a murit ignorată de doctori, numit de PSD. A lucrat la o fermă
Tânăra a ajuns la Maternitatea din Botoșani în noaptea de joi spre vineri, acuzând dureri foarte mari în zona burții. Fata era însărcinată în 3 luni, iar sarcina s-ar fi oprit din evoluție. Ore întregi s-a rugat de medici să o chiroteze, însă nu a fost luată în seamă. În cele din urmă, tânăra, mamă a trei copii a murit și a lăsat în urmă sute de întrebări.
La ora 3:16 Alexandra i-a trimis un mesaj medicului său, arată monotorulbv.ro
Citește și: Salvare miraculoasă a unei cățelușe dintr-o fântână adâncă de 12 metri. Stăpânul nu mai spera
„Bună seara! Sunt Ivanov Alexandra, însărcinată în 13 săpt. Am venit la maternitate cu dureri mari de burtă şi săngerări. Din păcate bebe e oprit din evoluţie. Credeţi că se poate face ceva să fiu chiuretată în seara asta? Că nu mai rezist de durere. Exact ca la naştere. Vă rog din suflet”, a scris tânăra. Mesajul său a rămas, însă, fără niciun răspuns.
După o oră, Alexandra i-a trimis un mesaj unuia dintre medicii care erau de gardă în acea noapte și a implorat să fie operată până dimineaţă.
Salarii și de 20.000 lei/lună pentru medicii din Botoșani care au lăsat o mămică cu 3 copii să moară
„Sunt Ivanov Alexandra. Credeţi că îmi puteţi face chiuretajul noaptea asta că nu mai rezist de durere! Vă rog din suflet simt că o iau razna”, a scris tânăra. Şi acest mesaj a rămas fără răspuns.
Toată noaptea tânăra a vorbit constant cu soţul său prin mesaje spunându-i în repetate rânduri că are dureri crunte.
La 6:40 tânăra trimite un ultim mesaj: “Nu mai pot”.
Peste câteva zeci de minute cadrele medicale i-au anunţat familia că aceasta s-a stins din viață.
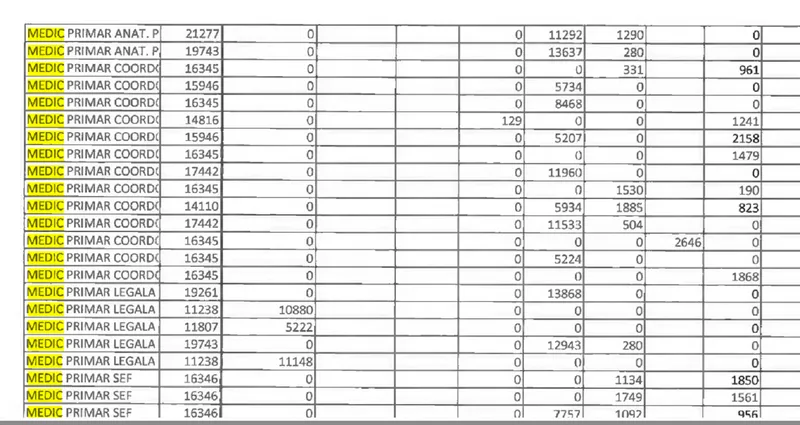
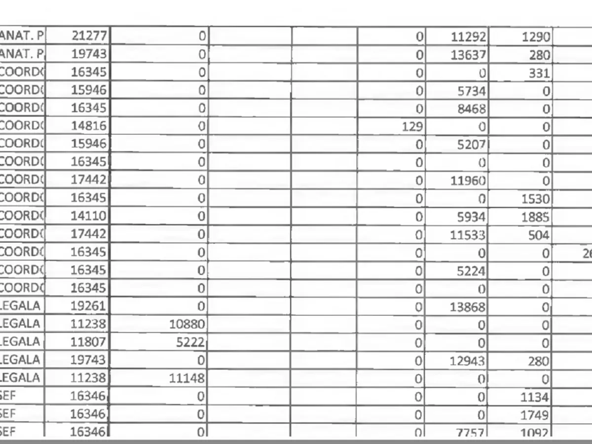
Ce salarii au medici de la Spital

Potrivit datelor consultate de Newsweek România un medic specialist are o încadrare de 12.000 și 15.000 de lei pe lună. Aproape dublu poți obține din sporuri, muncă în timpul sărbătorilor, pe timp de noapte și din gărzi. Un medic ajunge la 20.000 de lei ușor, iar un medic coordonator primește și 30.000 lei pe lună.
