Grevă pentru salarii mai mari la spitalul unde un medic câștigă 30.000 lei/lună și o asistentă 9.000


Grevă pentru salarii mai mari în sănătate, anunțată de medicii de la spitalul unde doctorii câștigă și 30.000 lei pe lună, iar un asistent 9.000 lei. Este vorba de Spitalul Universitar din București.
Medicii au ieșit, săptămâna aceasta, în stradă pentru a cere salarii mai mari. În prima linie s-a aflat medicul Florin Chirculescu, de la Spitalul Universitar care a și explicat motivul grevei.
Citește și: EXCLUSIV Budăi dă 2.000.000€ subordonaților pentru „boli închipuite”. Pentru profesori nu are bani
El a afirmat că, în timpul programului normal de lucru, ziua, medicii primesc 100 de lei pe oră, iar după ce încep garda primesc doar 40 de lei pe oră. ”Eu nu ştiu dacă mai există vreun loc pe pământul acesta, unde, cu cât munceşti mai mult, cu atât să fii plătit mai puţin”, a comentat el.
Citește și: Venitul unui medic, de patru ori cât al unui profesor. Asistenta, dublu față de un profesor debutant
Medicii vor salarii mai mari deoarece sunt plătiți doar cu 100 de lei pe oră, iar pentru gărzi se plătește suma de 40 de lei. Anunțul a fost făcut de medicul Florin Chirculescu de la Spitalul Universitar.
Citește și: Ce salarii au profesorii în România față de cei din Franța, Bulgaria, Polonia și Ungaria
Grevă pentru salarii mai mari la spitalul unde un medic câștigă 30.000 lei/lună
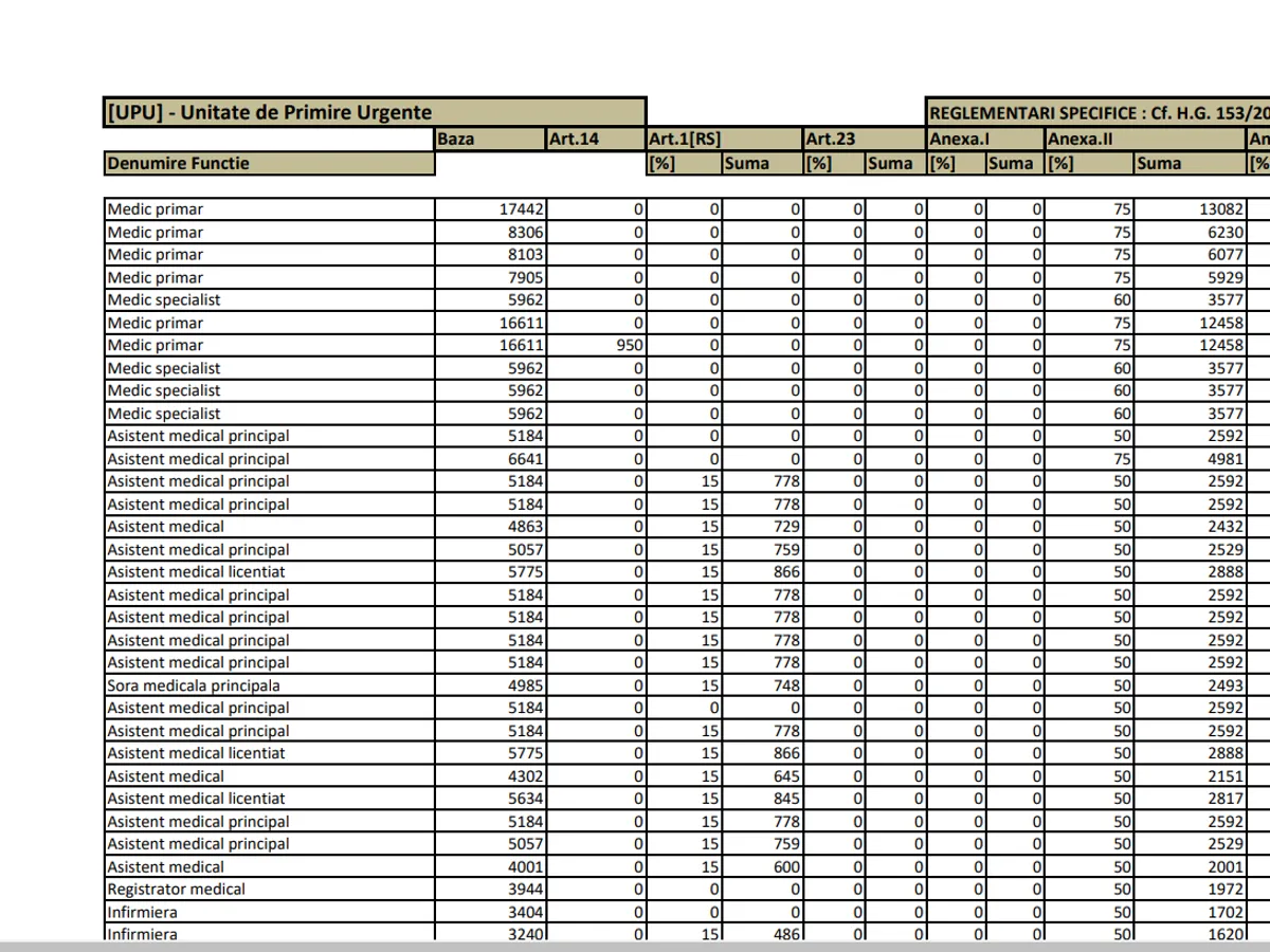
Potrivit veniturilor de la Spitalul Universitar consultate de Newsweek România acestea nu sunt deloc mici. Un medic este încadrat la 17.000 lei la care se adaugă sporuri de 13.000 de lei. Un alt medic are 16.600 de lei la care se adaugă un spor de 12.400 lei.
Un asistent câștigă 5.700 lei la care se adaugă un spor de 845 lei plus, spor de condiții de muncă de 2.800 de lei, adică 9.300 lei.
Ce vor medicii
„Principalele revendicări sunt cele de natură salarială. Cele pe termen scurt se referă la aplicarea integrală a Anexei 2, respectiv anexa sănătăţii. Într-adevăr, săptămâna trecută Guvernul a adoptat pentru personalul auxiliar sanitar creşterea salariilor de bază la nivelul anului 2022, a rămas însă o restanţă, cea referitoare la acordarea salariilor de bază aferente anului 2022 şi pentru medicii care efectuează gărzi suplimentare.
A doua categorie de solicitări pe termen scurt se referă la sporurile pentru condiţii de muncă pentru infirmiere brancardieri şi aşa mai departe, respectiv sporurile pentru zilele nelucrătoare şi sporul de tură pentru asistentele medicale şi, de asemenea, pentru infirmiere şi brancardieri, acestea trebuind aduse la nivelul actual al salariului de bază. Pe termen mediu discutăm despre aplicarea viitoarei legi a salarizării, aşa cum noi am negociat-o cu Ministerul Sănătăţii, respectiv acordarea unei creşteri de cel puţin 50% din diferenţa între viitorul salariu şi cel actual al tuturor salariaţilor din sectorul sanitar”, a declarat, joi, vicepreşedintele Federaţiei sindicale „Solidaritatea Sanitară”, Gabriel Predică.
Medicul Florin Chirculescu a explicat care sunt revendicările colegilor săi cu privire la plata gărzilor suplimentare, el arătând că fiecare oră de gardă din afara contractului de muncă este plătită cu 30 de lei.