Bilanțul COVID de duminică: 1.220 de pacienți critici la ATI și peste 6.300 de cazuri noi
În ultimele 24 de ore, au fost confirmate 6.333 de cazuri noi de COVID-19, din 16.000 de teste PCR și 28.000 de teste rapide, iar 111 oameni infectați au murit. La ATI sunt internați 1.220 de pacienți critici, anunță duminică Grupul de Comunicare Strategică.
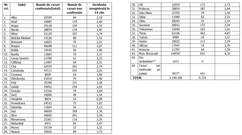
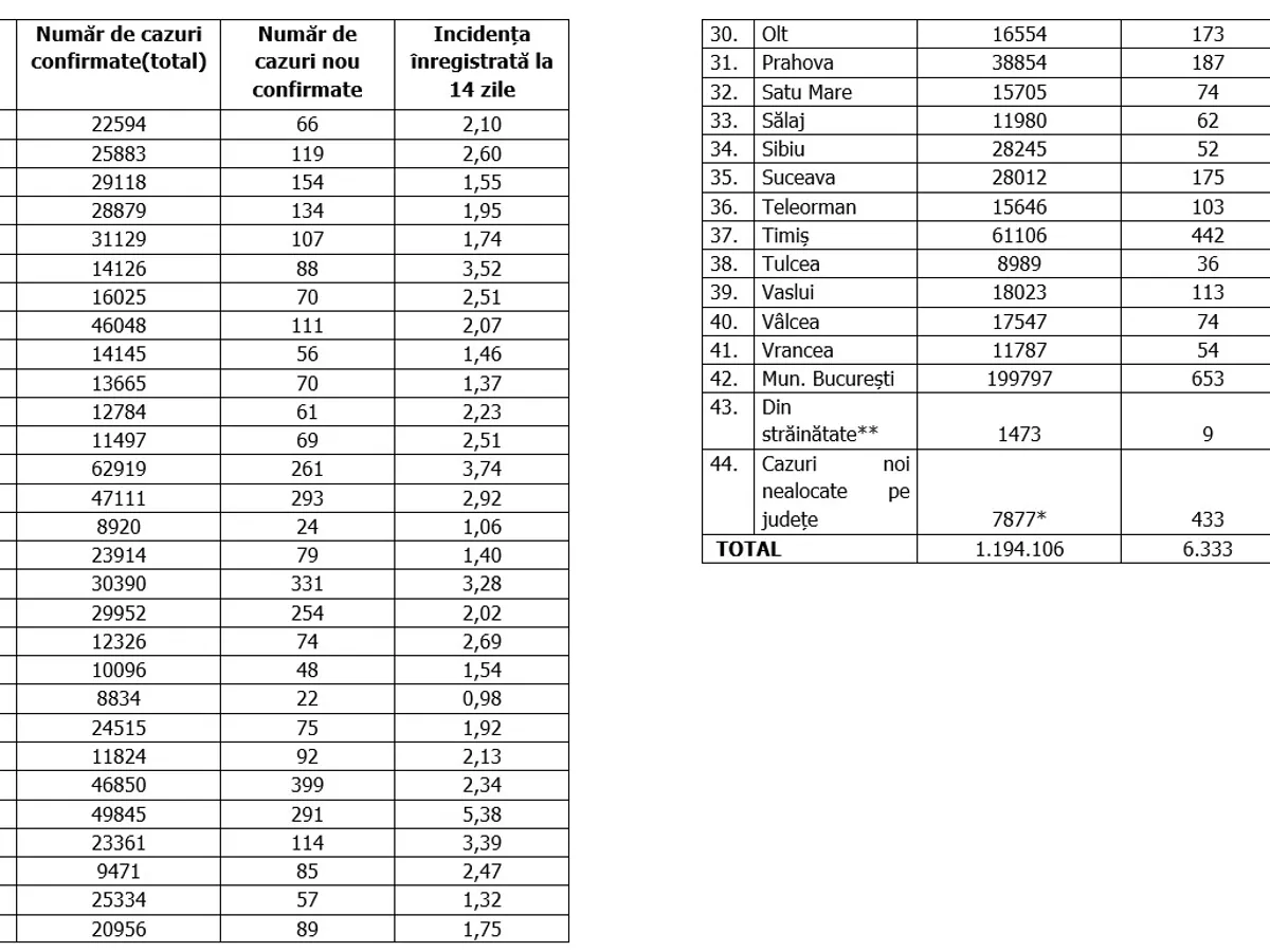
În total, în România au fost confirmate 1.194.106 cazuri de infectare cu coronavirus, dintre care 821 sunt ale unor pacienți reinfectați, testați pozitiv la o perioadă mai mare de 180 de zile după prima infectare.
Până astăzi, 36.341 de persoane diagnosticate cu infecție cu SARS – CoV – 2 au decedat.
1.098.154 de pacienți au fost declarați vindecați.
Peste 6.300 de cazuri noi în ultimele 24 de ore
În ultimele 24 de ore au fost înregistrate 6.333 de cazuri noi de persoane infectate cu SARS – CoV – 2 (COVID – 19), dintre care 164 sunt ale unor pacienți reinfectați, testați pozitiv la o perioadă mai mare de 180 de zile după prima infectare.
Distribuția pe județe a cazurilor per total și a celor noi o regăsiți în tabelul de mai jos.

Opt județe și Bucureștiul sunt în scenariul roșu de COVID
Coeficientul infectărilor cumulate la 14 zile, raportate la 1.000 de locuitori este calculat de către Direcțiile de Sănătate Publică, la nivelul Municipiului București și al județelor. Mai jos aveți graficul realizat în baza raportărilor primite de CNCCI de la Direcțiile de Sănătate Publică:

Distinct de cazurile nou confirmate, în urma retestării pacienților care erau deja pozitivi, 468 de persoane au fost reconfirmate pozitiv. Distribuția pe județe a acestor cazuri o regăsiți în tabelul de mai jos.

111 oameni infectați au murit. Patru, fără comorbidități
„În intervalul 25.09.2021 (10:00) – 26.09.2021 (10:00) au fost raportate de către INSP 111 decese (58 bărbați și 53 femei), ale unor pacienți infectați cu noul coronavirus, internați în spitalele din Alba, Arad, Bacău, Bihor, Bistrița-Năsăud, Botoșani, Brăila, Brașov, Buzău, Caraș-Severin, Călărași, Cluj, Constanța, Dâmbovița, Dolj, Gorj, Harghita, Maramureș, Mehedinți, Olt, Prahova, Satu Mare, Sibiu, Suceava, Timiș, Tulcea, Vaslui, Vâlcea.
Dintre cele 111 decese, un a fost înregistrat la categoria de vârstă 30-39 ani, 10 la categoria de vârstă 50-59 ani, 30 la categoria de vârstă 60-69 ani, 32 la categoria de vârstă 70-79 ani și 38 la categoria de vârstă peste 80 ani.
107 dintre decesele înregistrate sunt ale unor pacienți care au prezentat comorbidități, iar patru pacienți decedați nu au prezentat comorbidități”, conform GCS.
Nu au fost raportate decese anterioare intervalului de referință.
Peste 10.300 de pacienți cu COVID sunt internați în spitale, între care 267 de copii
În unitățile sanitare de profil, numărul total de persoane internate cu COVID-19 este de 10.313. Dintre acestea, 1.220 sunt internate la ATI.
Din totalul pacienților internați, 267 sunt minori, 246 fiind internați în secții și 21 la ATI.
Număr mic de teste PCR prelucrate în ultimele 24 de ore: doar 16.000
Până la această dată, la nivel național, au fost prelucrate 9.523.585 de teste RT-PCR și 3.092.303 teste rapide antigenice. În ultimele 24 de ore au fost efectuate 16.062 de teste RT-PCR (6.201 în baza definiției de caz și a protocolului medical și 9.861 la cerere) și 28.208 teste rapide antigenice.
Pe teritoriul României, 49.407 persoane confirmate cu infecție cu noul coronavirus sunt în izolare la domiciliu, iar 9.185 de persoane se află în izolare instituționalizată. De asemenea, 59.899 de persoane se află în carantină la domiciliu, iar în carantină instituționalizată se află 227 de persoane.
În ultimele 24 de ore, au fost înregistrate 4.278 de apeluri la numărul unic de urgență 112.
Amenzi de aproape 300.000 de lei
Polițiștii și jandarmii au aplicat, în ziua de 25 septembrie, 1.484 de sancțiuni contravenționale, în valoare de 290.350 lei, pentru încălcarea măsurilor sanitare, și au deschis două dosare penale pentru zădărnicirea combaterii bolilor.
GCS le reamintește oamenilor că pot sesiza la linia telverde 0800800165 încălcări ale normelor de protecție sanitară.
Situația COVID în diaspora
23.744 de cetățeni români din diaspora au fost confirmați ca fiind infectați cu SARS – CoV – 2 : 2.543 în Italia, 16.946 în Spania, 198 în Marea Britanie, 129 în Franța, 3.124 în Germania, 95 în Grecia, 49 în Danemarca, 37 în Ungaria, 28 în Olanda, 2 în Namibia, 5 în SUA, 8 în Suedia, 143 în Austria, 22 în Belgia, 6 în Japonia, 2 în Indonezia, 75 în Elveția, 4 în Turcia, 2 în Islanda, 2 în Belarus, 8 în Bulgaria, 21 în Cipru, 4 în India, 5 în Ucraina, 8 în Emiratele Arabe Unite, 14 în Republica Moldova, 3 în Muntenegru, 218 în Irlanda, 5 în Singapore, 5 în Tunisia, 9 în Republica Coreea, 2 în Bosnia și Herțegovina, 2 în Serbia, 3 în Croația și câte unul în Argentina, Luxemburg, Malta, Brazilia, Kazakhstan, Republica Congo, Qatar, Vatican, Portugalia, Egipt, Pakistan, Iran, Slovenia, Federația Rusă, Finlanda, Polonia și Kuweit.
194 de cetățeni români au murit: 37 în Italia, 19 în Franța, 43 în Marea Britanie, 60 în Spania, 14 în Germania, 2 în Belgia, 3 în Suedia, 5 în Irlanda, 2 în Elveția, 2 în Austria, unul în SUA, unul în Brazilia, unul în Republica Congo, unul în Grecia, unul în Iran unul în Polonia și unul în Bulgaria, au decedat.
Dintre cetățenii români confirmați cu infecție cu coronavirus, 798 au fost declarați vindecați: 677 în Germania, 90 în Grecia, 18 în Franța, 6 în Japonia, 2 în Indonezia, 2 în Namibia, unul în Luxemburg, unul în Tunisia și unul în Argentina.