CSM București intenționează să desființeze secțiile de natație și tenis.Ce se întâmplă cu banii bucureștenilor
Diferențele de buget dintre secțiile sportive de la CSM București reflectă o strategie clar orientată către performanță imediată, în detrimentul dezvoltării pe termen lung în condițiile în care clubul este finanțat din taxele bucureștenilor.
CSM București ar urma să ia decizia închiderii secțiilor de tenis și natație, susțin surse din cadrul Consiliului General al Municipiului București.
Aceasta în condițiile în care ambele secții au cheltuieli care reprezintă sub 1% din bugetul clubului, iar tenisul își desfășoară activitatea pe singura bază sportivă pe care o deține CSM București. Toate celelalte sporturi funcționează pe baze sportive închiriate.
CSM București este finanțat de Primăria Generală a Capitalei, bugetul clubului fiind aprobat în Consiliul General.
Unde se duc cei mai mulți bani de la CSM
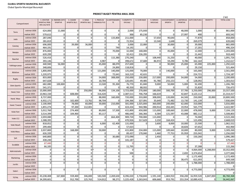
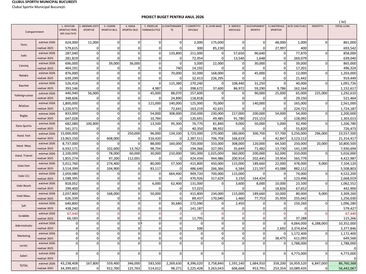
Analiza proiectului de buget pentru 2026 arată o concentrare puternică a resurselor în jurul handbalului, în special la feminin, dar și o creștere semnificativă la masculin.

Bugetul total al clubului este estimat la peste 86,7 milioane lei pentru 2026, față de aproximativ 56,4 milioane lei în 2025 . Cea mai mare alocare rămâne cea pentru handbalul feminin, cu peste 23,5 milioane lei, însă și handbalul masculin beneficiază de o finanțare consistentă.
Citește și: Handbal: România, în sferturile de finală ale Ligii Campionilor și cu fetele de la Gloria Bistrița
Secția de handbal masculin are un buget estimat de aproximativ 10,8 milioane lei pentru 2026, de aproape zece ori mai mare decât în anul precedent . Creșterea indică o schimbare de strategie, însă rezultatele echipei nu sunt, în prezent, la nivelul investiției, neexistând performanțe notabile nici în competițiile interne, nici în cele europene.
La handbalul feminin, 15 milioane de lei merg doar pentru veniturile sportivelor și antrenorilor, în timp ce la handbal masculin se cheltuiesc 8,7 milioane de lei pentru același lucru.
Voleiul feminin are un buget de 7,1 milioane de lei pentru 2026, din care 5 milioane merg la sportivi și staff.
Banii bucureștenilor merg spre rezultate imediate, nu în dezvoltare pe termen lung
În același timp, alte secții sunt puse sub semnul întrebării. Natația are un buget estimat de aproximativ 1,2 milioane lei, iar tenisul funcționează cu un buget mult mai redus, de 861.100 de lei, adică sub 1% din bugetul total al clubului. Cu toate acestea, ambele sunt vizate de posibile desființări.
Situația tenisului este cu atât mai sensibilă cu cât secția include și un program dedicat copiilor cu dizabilități, o componentă socială care ar dispărea odată cu închiderea activității.
Totodată, tenisul funcționează pe singura bază sportivă care aparține CSM București.
În cazul natației, vorbim despre o disciplină în care România continuă să obțină rezultate importante la nivel internațional, ceea ce ridică semne de întrebare privind oportunitatea unei astfel de decizii.
Structura bugetară arată că sumele sunt direcționate în principal către salarii, cantonamente și competiții oficiale, în special în sporturile de echipă. Această strategie favorizează performanța imediată, cum e cazul echipei feminine de handbal, dar poate afecta dezvoltarea pe termen lung, mai ales dacă sunt eliminate discipline care contribuie la baza de selecție.
Newsweek România a solicitat Primăriei Generale a Municipiului București un punct de vedere pe acest subiect. În momentul în care vom primi răspunsul, îl vom publica.