joi 23 aprilie
EUR 5.0951 USD 4.3357
Abonează-te
Newsweek România

Directorii din Consiliul Magistraturii - salariu: 5.000€. Au 1.500€ spor de nervi, 300€ spor confidențialitate

Data publicării: 23.04.2026 • 07:10 Data actualizării: 23.04.2026 • 07:49
Justiție - Foto: Freepik (Imagine cu rol ilustrativ)
Justiție - Foto: Freepik (Imagine cu rol ilustrativ)
Salarii CSM- Foto: Arhiva
Salarii CSM- Foto: Arhiva

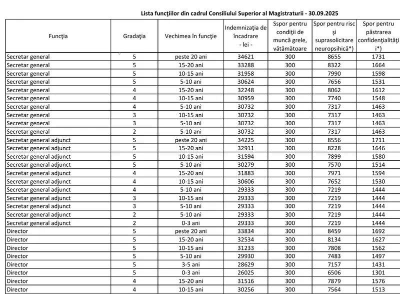
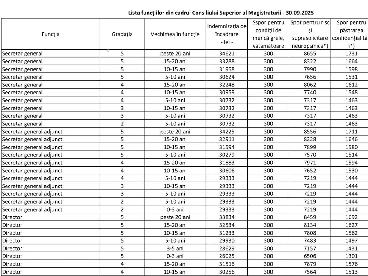
Consiliul Superior al Magistraturii are „un număr maxim de posturi” de 258. Directorul primește salariu de 5.000 euro, la care se adaugă spor de nervi în valoare de 1.500€ și spor confidențialitate: 300€. La CSM lucrează 258 de persoane.

Consiliul Superior al Magistraturii a revenit în atenția publică la început de an după ce s-a opus tăierii pensiilor speciale ale magistraților. 

CSM se sesizează din oficiu pentru a apăra judecătorii şi procurorii împotriva oricărui act de imixtiune în activitatea profesională sau în legătură cu aceasta, care ar putea afecta independenţa sau imparţialitatea judecătorilor. Detalii despre competențele CSM găsiți AICI

Director în Consiliul Magistraturii: Spor de nervi: 1.500€, spor confidențialitate: 300€, salariu: 5.000€

Newsweek a relatat despre veniturile pe care membrii CSM le câștigă. Ei câștigă între 40.000 și 80.000 de lei.

Citește și: Membri CSM, salarii de 40000 - 80.000 lei. Forțează Nicușor Dan demisia lor? Nu vor tăierea pensiilor speciale

Salarii și sporuri foarte mari au și angajații CSM - directori, secretari, consilieri, personal asimilat. Potrivit CSM, „numărul maxim de posturi în organigramă” este 258. Detalii AICI

Toți primesc pe lângă salariu încă 3 sporuri - spor de confidențialitate, spor de risc şi 
suprasolicitare neuropsihică plus spor pentru condiții vătămătoare de muncă.

Câteva exemple.

Director: salariu - 33.800 lei, spor de risc şi suprasolicitare neuropsihică - 8.450 lei, spor de confidențialtate - 1.600 lei, spor condiții grele de muncă  - 300 lei

Secretar General: salariu - 34.000 lei, spor de risc şi suprasolicitare neuropsihică - 8.600 lei, spor de confidențialtate - 1.700 lei, spor condiții grele de muncă  - 300 lei

Consilier Grad I: salariu - 20.000 lei, spor de risc şi suprasolicitare neuropsihică - 5.000 lei, spor de confidențialtate - 1.000 lei, spor condiții grele de muncă  - 300 lei.

Salarii CSM- Foto: Arhiva
Salarii CSM- Foto: Arhiva

Salariile membrilor CSM, uriașe

Newsweek a relatat despre salariile iemnse ale celor 19 membri CSM.

Un membru CSM din partea societății civile este Ioan Sas.

Acesta are un salariu de 32.700 de lei net.

El a fost avocat tocmai în Maramureș. Deși este membru CSM din partea societății civile, a fost impus de PSD prin vot în Parlament. Ioan Sas a fost consilier județean de Maramureș din partea PSD.

Pe larg în linkul de mai jos:

Citește și: Al doilea membru CSM din partea societății civile: 33.000 lei salariu, 15.000 lei diurnă. Ex-consilier PSD

Al doilea membru CSM din partea societății civile este la fel de controversat. Fănel Mihalcea, fost prim procuror la Parchetul Brăila, are o pensie specială de 27.000 lei și un salariu de 43.000 de lei net. 

Citește și: Membru CSM, Fănel Mihalcea: 43.000 lei salariu, 27.000 lei pensie specială. Fiica lui este deputat PSD

Președintele CSM este Liviu Odagiu, judecător la Judecătoria din Alba Iulia. El a câștigat suma de 60.900 de lei ca judecător și 538.000 de la CSM. 

În total: 600.000 lei net câștigați în 2023, adică 50.000 de lei pe lună.

Citește și: Judecătorul care l-a acuzat pe Bolojan că minte despre pensiile speciale: Salariu de 50.000 lei/lună

Judecătorul și membrul CSM Alin Ene a avut un venit lunar net de 51.000 de lei.

Citește și: Guvenul îi propune pensie specială de 37.500 lei judecătorului CSM Alin Ene. Răspuns: E instigare la violență

Fostul șef al CSM, Daniel Grădinaru, a câștigat 84.000 de lei pe lună în anul 2023. El se opune oricărei reforme a pensiilor speciale. 

Daniel Grădinaru susținea că o creștere bruscă a vârstei de pensionare pentru judecători și procurori ar putea determina ieșirea din sistem a peste 1.500 de magistrați.

Citește și: Judecător CSM critică tăierea pensiilor speciale. A câștigat 84.000 lei/lună. Are 50 ani și se poate pensiona

 
Mai multe articole din secțiunea Justiție
Comentarii 0
Trebuie să fii autentificat pentru a comenta!

Newsweek România Abonamente

Print

Print

  • Revista tipărită
  • Acces parțial online
  • Fără reclame
Abonează-te
Print + Digital

Print + Digital

  • Revista tipărită
  • Acces total online
  • Acces arhivă
  • Fără reclame
Abonează-te
Digital

Digital

  • Acces total online
  • Acces arhivă
  • Fără reclame
Abonează-te
Newsweek România
Articole și analize exclusive pe care nu trebuie să le ratezi!
Abonează-te
Newsweek România
Newsweek România Ultima oră
Newsweek România
Ultima oră