SURSE Ciolacu taie finanțarea de 3.000.000 lei lui Emil Constantinescu pentru Institutul Levantului



În cadrul tăierilor bugetare, surse Newsweek au declarat că una dintre instituțiile care nu vor mai avea finanțare este Institutul Levantului, unde fostul șef de stat Emil Constantinescu ocupă funcția de președinte al Consiliului Științific.
În cadrul tăierilor bugetare, surse Newsweek au declarat că una dintre instituțiile care nu vor mai avea finanțare este Institutul Levantului, unde fostul șef de stat Emil Constantinescu ocupă funcția de președinte al Consiliului Științific.
Conform cifrelor oficiale, instituția avea un buget de 3 milioane de lei anual.
Institutul Levantului a luat ființă în iunie 2017, când s-a publicat în Monitorul Oficial Legea nr. 117 privind înființarea Institutului de Studii Avansate pentru Cultura și Civilizația Levantului.
Citește și: Ce face Emil Constantinescu din subvenția de un milion euro de la buget: cere o pace globală
Bugetul anual al instituției a oscilat între 4 și 5 milioane de lei (un milion de euro), iar sediul a fost pus la dispoziție de stat, undeva în zona Arcului de Triumf.
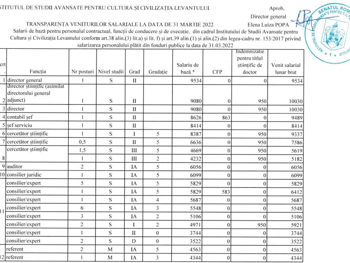
Oamenii Institutului Levantului
Emil Constantinescu a fost numit, în septembrie 2019, de Biroul Permanent al Senatului, în funcția de președinte al Institutului timp de cinci ani. Tot atunci funcția de președinte al institutului a devenit sinonimă cu una de secretar de stat.
În 2022, bugetul ISACCL a fost de 3 milioane de lei, în condițiile în care, în 2021, a fost de 4,9 milioane de lei. Din această sumă, doar 50.000 de lei au fost veniturile proprii ale Institutului.
*Sume exprimate în mii lei
Din bugetul total de 3 milioane, nu mai puțin de 2.103.000 lei se duc pe salarii, destul de generoase, după cum reiese din tabelul de mai jos.
Președintele ISACCL, Emil Constantinescu primește un salariu de 16.640 de lei lunar, asimilat poziției de secretar de stat.
Din 2019, de când funcția de președinte al institutului a devenit sinonimă cu una de secretar de stat, Emil Constantinescu este obligat prin lege să-și depună declarația de avere.