Ce măsuri anti- COVID intră în vigoare de azi și cum arată noile declarații pentru deplasare
Guvernul a adoptat, joi, hotărârea privind noile măsuri de combatere a efectelor pandemiei de COVID-19, însă premierul Florin Cîțu a anunțat că prevederile intră în vigoare de duminică.
Hotărârea de Guvern prevede reducerea intervalului orar în care este permisă circulaţia persoanelor în afara locuinţei/gospodăriei fără restricţii, în localităţile în care incidenţa cumulată în ultimele 14 zile este mai mare de 4 la 1.000 de locuitori şi mai mică de 7,5 la 1.000 de locuitori, până la ora 20,00, pentru zilele de vineri, sâmbătă şi duminică.
Citește și: Interlopul Rechinu i-a mulțumit președintelui Mexicului. Nu-i pasă de mandatul de arestare românesc
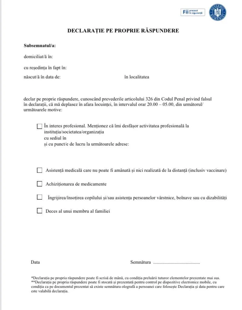
Excepţiile sunt deplasările în interes profesional, pentru asistenţa medicală care nu poate fi amânată, achiziţionarea de medicamente, deplasări în afara localităţilor ale persoanelor care sunt în tranzit, pentru asistenţa persoanelor vârstnice, bolnave sau deces, în aceste cazuri fiind prevăzută obligaţia prezentării autorităţilor abilitate o declaraţie pe proprie răspundere, completată în prealabil.
Citește și: 19.000 lei/lună pentru Ion Rădoi, sindicalistul care a blocat metroul în plină pandemie COVID

Programul magazinelor
De asemenea, hotărârea stipulează limitarea intervalului de timp în care este permisă desfăşurarea activităţii operatorilor economici care desfăşoară activităţi de comerţ/prestări de servicii în spaţii închise şi/sau deschise, publice şi/sau private, în localităţile în care incidenţa cumulată în ultimele 14 zile este mai mare de 4 la 1.000 de locuitori şi mai mică de 7,5 la 1.000 de locuitori, până la ora 18,00 pentru zilele de vineri, sâmbătă şi duminică.
Când incidenţa depăşeşte 7,5 la 1.000 de locuitori se interzice circulaţia în intervalul orar 20,00 - 5,00 şi se reduce programul operatorilor economici până la ora 18,00 pe toată săptămâna.

Sălile de sport
Este prevăzută suspendarea activităţii operatorilor economici desfăşurată în spaţii închise în domeniul sălilor de sport/fitness în localităţile în care incidenţa cumulată a cazurilor în ultimele 14 zile este mai mare de 4 la 1.000 de locuitori.
Hotărârea mai prevede că fac excepţie de la acest program unităţile farmaceutice, benzinăriile, operatorii cu activitate de livrare la domiciliu şi în domeniul rutier persoanele care utilizează autovehicule cu capacitate mai mare de nouă locuri pe scaune.
Totodată, duminică este permisă circulaţia până la ora 22,00 pentru participarea la serviciile religioase oficiate pentru sărbătoarea de Pesah şi în 3 şi 4 aprilie până la ora 2,00 pentru deplasarea şi participarea la slujbele religioase oficiate cu ocazia Paştelui Catolic.