marți 28 octombrie
EUR 5.0844 USD 4.3591
Abonează-te
Newsweek România

Sute de mii de pensionari au pierdut ajutorul de 50 lei la pensie pentru plata facturilor. De ce?

Data publicării: 28.10.2025 • 12:00 Data actualizării: 28.10.2025 • 12:02
Pensionar cu factură - Foto: Freepik (Imagine cu rol ilustrativ)
Pensionar cu factură - Foto: Freepik (Imagine cu rol ilustrativ)
Pensionar cu factură - Foto: Freepik (Imagine cu rol ilustrativ)
Pensionar cu factură - Foto: Freepik (Imagine cu rol ilustrativ)
Date CNPP
Date CNPP

Sute de mii de pensionari au pierdut ajutorul de 50 lei la pensie pentru plata facturilor. Statul oferă tichete de energie pentru perioada 1 iulie 2025 - 31 martie 2026, adică timp de 9 luni.

Pensionarii și persoanele vulnerabile pot primi un ajutor de 50 de lei pe lună din partea statului pentru plata facturilor la energie electrică.

Spre deosebire de anii trecuți, însă, sprijinul nu se mai acordă automat tuturor persoanelor eligibile, ci doar celor care se înscriu voluntar în program.

Citește și: Ajutor la pensie pentru facturi. În care cazuri trebuie să depui o nouă cerere ca să nu pierzi banii

Sute de mii de pensionari au pierdut ajutorul de 50 lei la pensie pentru plata facturilor. Care e motivul?

Înscrierea se poate face online, la primărie sau la oficiul poștal, însă mulți beneficiari nu au reușit să finalizeze această procedură.

Potrivit ministrului Muncii, peste 600.000 de beneficiari au primit sumele aferente tichetelor de energie pentru luna septembrie, în valoare totală de peste 34 de milioane de lei.

Conform datelor obținute de Newsweek România, numărul total de tichete emise până în prezent este de 631.482.

Citește și: Ajutor la pensie: Care pensionari nu plătesc jumătate din factura la curent? Cum iau bani de la stat

Voucherele pentru energie se acordă:

  • persoanelor singure cu venit net lunar de maximum 1.940 lei;
  • familiilor cu venit net lunar/membru de familie de maximum 1.784 lei.

Sprijinul va fi acordat în perioada 1 iulie 2025 - 31 martie 2026, adică timp de 9 luni. Așadar, pensionarii cu pensii mici vor primi 450 de lei pentru plata facturilor la energie electrică.

Pensionar cu factură - Foto: Freepik (Imagine cu rol ilustrativ)
Pensionar cu factură - Foto: Freepik (Imagine cu rol ilustrativ)

Citește și: Facturile la energie vor continua să crească. Cât vom plăti în plus

Câți pensionari nu au luat banii?

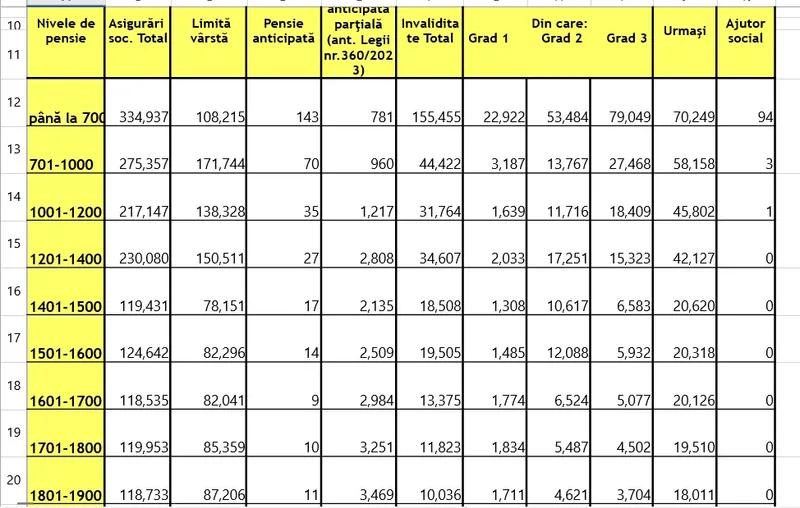
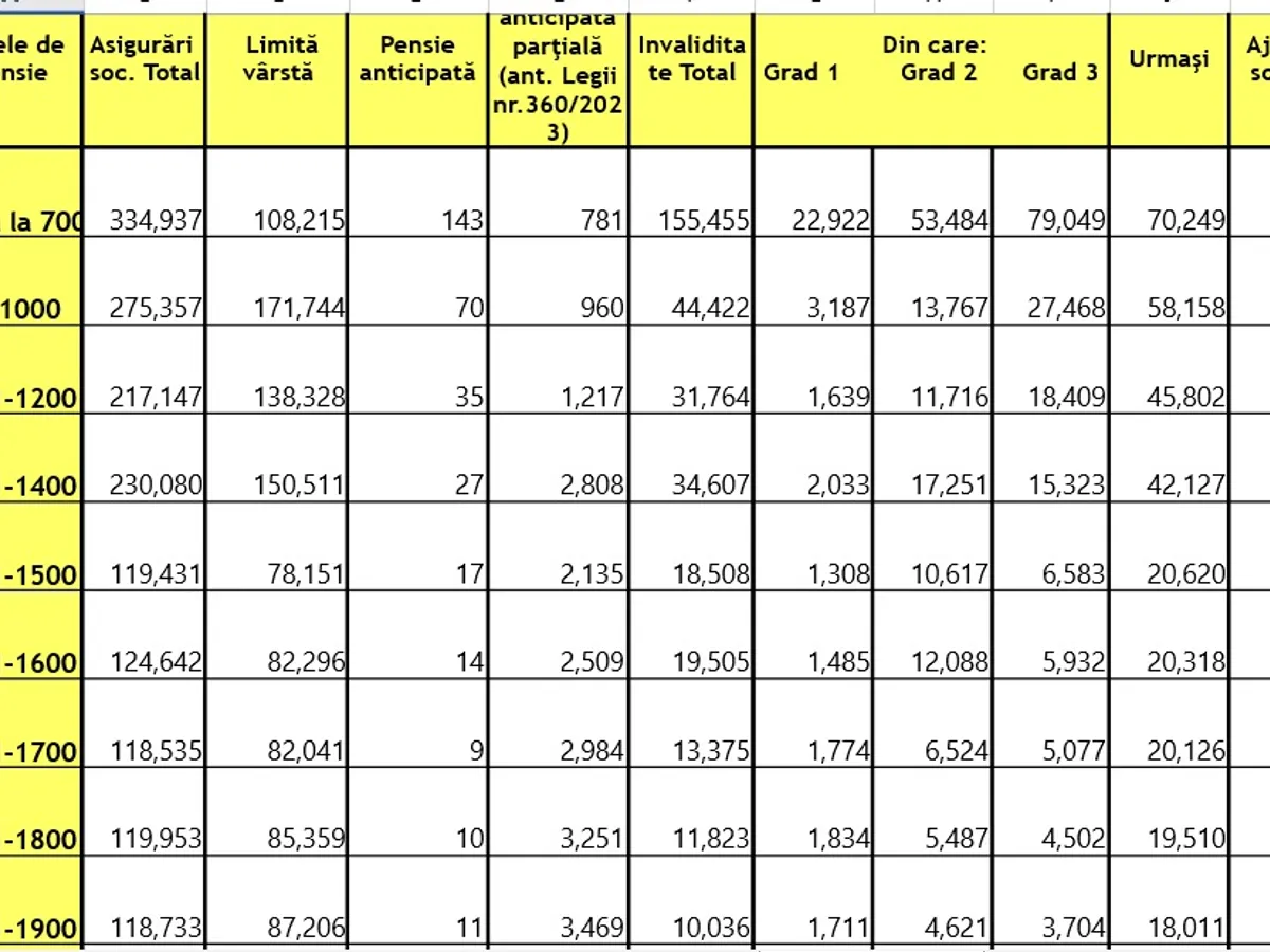
Datele Casei Naționale de Pensii Publice (CNPP) arată că există 1.658.815 pensionari cu pensii sub 1.900 de lei.

Date CNPP
Date de la Casa Națională de Pensii Publice - Foto: cnpp.ro (captură de ecran)

Chiar dacă unele familii de pensionari (soț și soție) primesc un singur tichet pentru gospodărie, numărul total al beneficiarilor ar fi trebuit să depășească 800.000 de persoane.

Citește și: Ajutor la pensie pentru facturi. Tichetele pentru luna septembrie au început să fie emise

Dintre cei 600.000 de beneficiari care au primit tichetele de energie, nu toți sunt pensionari, ci și alte persoane cu venituri mici. Aceasta înseamnă că sute de mii de pensionari eligibili nu au primit ajutorul.

Motivul principal este lipsa de informare sau dificultatea de a accesa procedura de înscriere. Mulți pensionari nu au auzit de acest sprijin, nu se pot înscrie online sau nu se pot deplasa la poștă ori la primărie pentru a depune cererea.

Pe de altă parte, noul sistem, bazat pe înscriere voluntară, este mai eficient, deoarece în anii trecuți multe carduri de energie trimise automat către persoanele eligibile rămâneau nefolosite, ceea ce ducea la o risipă de resurse.

Totuși, realitatea arată că mii de persoane aflate în dificultate financiară nu au beneficiat de sprijin.

Citește și: Ce e Marea Pensionare care va bloca sistemul de pensii? Lipsesc 7.000.000.000€ la bugetul pensiilor

Câți bani au pierdut cei care nu s-au înscris până acum?

Pentru a beneficia de toți banii, pensionarii trebuiau să depună cererile de înscriere PÂNĂ pe 27 septembrie. Cei care nu s-au înscris până la această dată au pierdut sprijinul pentru lunile iulie, august și septembrie.

Sprijinul poate fi solicitat în continuare, însă beneficiarii vor primi ajutorul doar din luna în care depun cererea, fără plăți retroactive. Așadar, cine se înscrie acum, la mijlocul lunii octombrie, nu va primi banii pentru lunile iulie, august și septembrie. Acești pensionari au pierdut 150 de lei.

Mai multe articole din secțiunea Social

Comentarii 0
Trebuie să fii autentificat pentru a comenta!

Newsweek România Abonamente

Print

Print

  • Revista tipărită
  • Acces parțial online
  • Fără reclame
Abonează-te
Print + Digital

Print + Digital

  • Revista tipărită
  • Acces total online
  • Acces arhivă
  • Fără reclame
Abonează-te
Digital

Digital

  • Acces total online
  • Acces arhivă
  • Fără reclame
Abonează-te
Newsweek România
Articole și analize exclusive pe care nu trebuie să le ratezi!
Abonează-te
Newsweek România

Newsweek România Ultima oră

Newsweek România
Ultima oră