Șefii Direcțiilor de Sănătate iau 5.500 lei/lună, sporuri pentru boli de care suferă doar pe hârtie



Sporurile ajung și la 5.500 lei/lună pentru șefii Direcțiilor de Sănătate din România. Aceste sporuri se dau pentru boli de care aceștia suferă doar pe hârtie, pentru că șefii sunt expuși la praf și la „radiațiile” emise de computer.
Directorii Direcțiilor de Sănătate Publică iau sporuri ireal de mari, de 4.500 - 5.500 de lei pe lună. Mai multe Direcții de sănătate sunt, azi, în grevă.
Angajații Direcțiilor de Sănătate Publică protestează miercuri dimineață, în fața instituțiilor, din cauza unei legi adoptate marți de Parlament. Protestele sunt la Sibiu, Constanța, Giurgiu, Argeș, dar proteste au loc și în alte județe.
În acest timp, conducerea, dar și inspectorii, și consilierii, primesc sporuri lunare de mii de lei.
Șefii Direcțiilor de Sănătate iau 4.500 lei/lună sporuri pentru boli imaginare
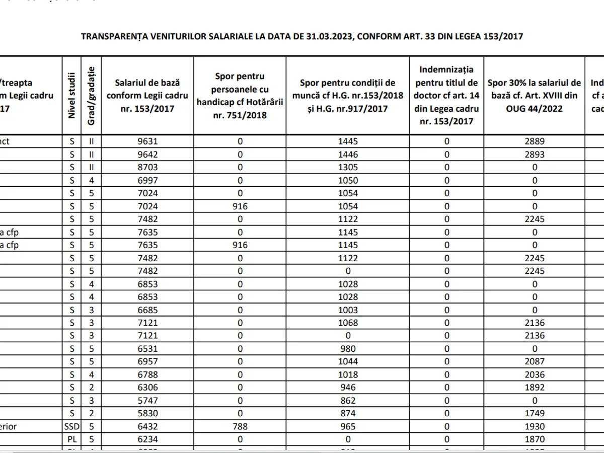
Cel puțin pentru șefii acestor direcții din țară și din București (câteva sute) aceste sporuri nu se justifică. Tabelul de mai sus este de la Direcția de Sănătate Publică din Sibiu - mai jos aveți documentul complet în format PDF.
Conducerea Direcției Sibiu ia sporuri uriașe, deși beneficiază de cele mai bune condiții de muncă: birou, subalterni, mașină la scară.
Directorul ia 9.600 lei salariu, plus 1.445 lei spor de condiții vătămătoare, plus 2.889 lei spor pentru că este expus la risc epidemiologic și biologic (Legea care permite acest lucru e AICI), plus tichete de masă.
Citește și: Ciolacu taie parțial sporurile pentru boli fictive date bugetarilor de care Newsweek scrie de 3 ani
Sporul pentru condiții periculoase a fost declarat imoral de premier și de PSD și a fost plafonat prin legea austerității.
A fost plafonat la maximum 1.500 de lei, astfel că directorul va rămâne cu același spor. Al doilea spor, de 2.888 lei, a fost stipulat prin această lege.
Citește și: Cum a făcut Ciolacu ca 99% din bugetari să păstreze sporurile de sute de lei pentru praf și „antenă”
Care este logica să îi dai directorului, șefului de serviciu sau consilierului superior spor de risc epidemiologic și biologic când este clar că ei conduc din birou instituția, nu fac „teren” și nu intră în contact cu nicio substanță periculoasă?
Despre sporul pentru condiții grele, Newsweek a scris că e o „mită” dată din bani publici. Ea e acordată pentru că angajații sunt „iradiați” de la computer, imprimantă, au praf pe birou sau stau lângă antene.
Liderul PSD, Mihai Tudose, a spus că e un spor dat pentru că angajații vin la serviciu.
Citește și: Mihai Tudose, oripilat de sporurile pentru boli închipuite intrate în vigoare când era premier
Șeful de serviciu ia 9.642 de lei salariu și sporuri identice cu Directorul.
Tupeul șefilor din București
Aceste sporuri uriașe se dau la majoritatea Direcțiilor de Sănătate.
La Direcția de Sănătate București nepăsarea este atât de mare încât pe pagina de Facebook a instituției nu a mai fost postată nicio informație de pe 24 decembrie 2021, când ni s-a spus „La mulți ani”.
Direcția nu și-a mai actualizat grila de salarii din 2021, când directorul lua sporuri de 5.500 de lei pe lună. Probabil, azi sunt mai mari. Sporul pentru condiții grele este de 15% din salariu.
Aceste sporuri, printre cele mai mari din țară, se dau în contextul în care guvernul încearcă să strângă cureaua pentru a nu crește deficitul și pentru a face bani pentru pensii.