Ciolacu crește salarii în spitale, deși un medic ia 28.000 lei, asistent: 8.500, brancardier: 4.200


Ciolacu crește salarii în spitale, deși un medic ia 28.000 lei pe lună, un asistent ajunge la 8.500, iar un brancardier ajunge la 4.200 lei. Angajații din sănătate au ieșit în stradă în urmă cu câteva zile și au amenințat cu greva generală
Premierul Marcel Ciolacu crește salariile în spitale, deși un medic ia 28.000 lei pe lună, un asistent ajunge la 8.500, iar un brancardier poate lua la 4.200 lei. Reamintim că salariile cadrelor medicale au crescut și de trei ori în 2017 prin noua lege a salarizării.
Citește și: VIDEO Marcel Ciolacu anunţă creşteri de venit la toţi angajaţi din Sănătate şi Asistenţă Socială
Prim-ministrul Marcel Ciolacu a anunţat că Guvernul va aproba o OUG, prin care vor fi operate creşteri de venit, pentru toate categoriile de angajaţi din Sănătate şi Asistenţă Socială, la salariul de bază maxim prevăzut de lege, în baza promisiunilor făcute.
Avem creşteri de venit pentru toate categoriile de angajaţi din Sănătate şi Asistenţă Socială, la salariul de bază maxim prevăzut de lege.
Ciolacu crește salarii în spitale, deși un medic ia 28.000 lei, asistent: 8.500 lei, brancardier: 4.200 lei.
Cu alte cuvinte, toate anexele care au ţinut de Legea 153, dar sunt incluse fonduri şi pentru plata voucherelor de vacanţă, indemnizaţii lunare pentru gărzi, zile suplimentare de concediu de odihnă şi deblocarea negocierilor şi semnarea Contractului Colectiv de Muncă", a precizat Ciolacu, la începutul şedinţei de Guvern, conform Agerpres.
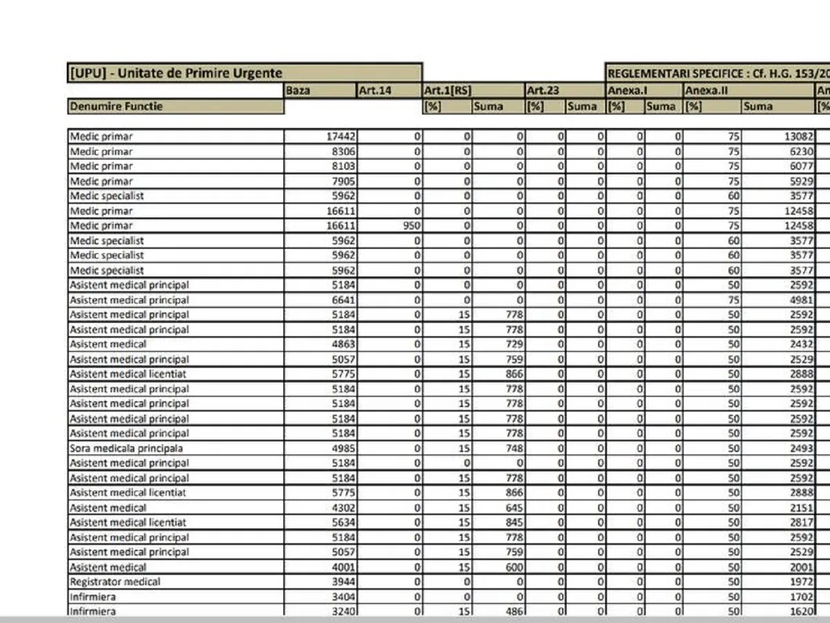
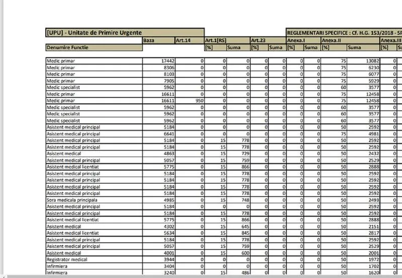
Newsweek prezintă salariile de la Spitalul Universitar din București.