Emil Constantinescu, bugetar cu venituri „la secret”. 40.000 € pe an, pensie ca fost președinte





Fostul șef de stat Emil Constantinescu continuă să profite de pe urma funcției de președinte al Consiliului Științific al Institutul de Studii Avansate pentru Cultura si Civilizația Levantului (ISACCL). Anul acesta, instituția are la dispoziție un buget de 3 milioane de lei.
ISACCL este, în fapt, o sinecură pusă la dispoziția lui Emil Constantinescu de către fostul premier Călin Popescu- Tăriceanu.
Institutul Levantului a luat ființă în iunie 2017, când s-a publicat în Monitorul Oficial Legea nr. 117 privind înființarea Institutului de Studii Avansate pentru Cultura și Civilizația Levantului. Bugetul anual al instituției a oscilat între 4 și 5 milioane de lei (un milion de euro), iar sediul a fost pus la dispoziție de stat, undeva în zona Arcului de Triumf.
Emil Constantinescu a fost numit, în septembrie 2019, de Biroul Permanent al Senatului, în funcția de președinte al Institutului timp de cinci ani. Tot atunci funcția de președinte al institutului a devenit sinonimă cu una de secretar de stat.
În 2022, bugetul ISACCL este de „doar” 3 milioane de lei, în condițiile în care, în 2021, a fost de 4,9 milioane de lei. Din această sumă, doar 50.000 de lei au fost veniturile proprii ale Institutului.
*Sume exprimate în mii lei
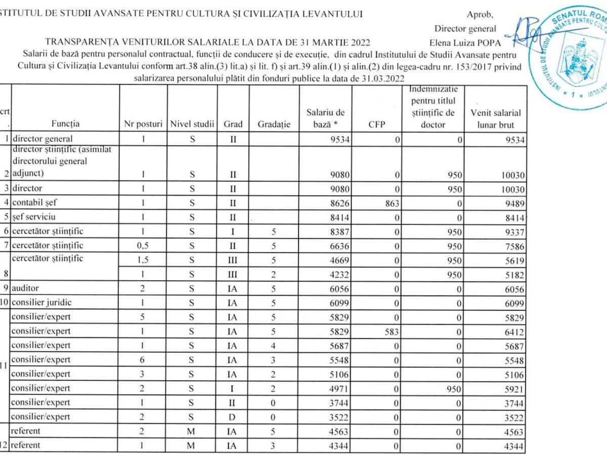
Din bugetul total de 3 milioane, nu mai puțin de 2.103.000 lei se duc pe salarii, destul de generoase, după cum reiese din tabelul de mai jos.
Președintele ISACCL, Emil Constantinescu primește un salariu de 16.640 de lei lunar, asimilat poziției de secretar de stat. Din 2019, de când funcția de președinte al institutului a devenit sinonimă cu una de secretar de stat, Emil Constantinescu este obligat prin lege să-și depună declarația de avere.
Ultima declarație de avere a fost depusă, însă, în 2020. În 2021 și 2022, fostul președinte al României a ignorat această obligativitate legală.
Din document reiese că veniturile anuale ale fostului președinte erau compuse, în 2020, din suma de 50.000 de lei (pensia de vârstă, calculată pe baza contribuțiilor) și 200.000 de lei (din pensia specială acordată foștilor președinți).
Institutul Levantului îi mai duce lunar aproape 16.640 de lei din funcția de președinte al organizației, așa cum se precizează în legea de organizare a institutului.
Citește și: Ce face Emil Constantinescu din subvenția de un milion euro de la buget: cere o pace globală
Conform declarației de avere, fostul președinte și membrii familiei sale dețin trei terenuri, unul intravilan de o mie de metri pătrați, o livadă tot de o mie de metri pătrați și o fâneață de 1.500 de metri pătrați.
Pe lângă locuința de protocol la care are parte în calitate de fost președinte, Emil Constantinescu mai deține o casă bătrânească de 86 de meri pătrați.
Fostul lider al Convenției Democratice are și colecții de artă, numismatică și de geologie, dar scrie în declarația de avere că încă nu a terminat evaluarea acestora.
Conturile sale bancare depășeau 10.000 de euro.
Nici subordonații lui Emil Constantinescu de la Institutul Levantului nu sunt la zi cu depunerea declarațiilor de avere și de interese, ultimele documente fiinde depuse în 2021.
Citește și: Lovitură: Cartelul OPEC reduce producția de petrol cu 2 milioane de barili pe zi din noiembrie
În 2020, Uniunea Salvați România (USR) a depus un proiect de desființare a Institutului Levantului, ”o sinecură înființată în 2017 în timpul guvernării PSD pentru a scurge bani de la buget”. Legea zace și astăzi prin sertarele Parlamentului, fără a fi luată în discuție.
Emil Constantinescu nu a putut fi contactat de Newsweek România pentru a comenta pe marginea subiectului. Vom publica poziția fostului președinte de îndată ce ne va parveni.