EXCLUSIV Lista creditorilor Rosal pentru care este executată Primăria Ploiești. DNA a cerut acte




Lista creditorilor Rosal are o valoare totală de aproape 26 de milioane de lei. Conturile Primăriei Ploiești sunt executate pentru plata acestor sume care ar trebui, de fapt, achitate de către furnizorul de servicii de salubritate Rosal.
Procurorii DNA au luat la puricat contractele semnate de Primăria Ploiești cu compania Rosal, controlată de Silviu Prigoană, estimate la aproximativ 220 milioane lei. Contractele au fost semnate în mandatul de primar al lui Adrian Dobre, fost coleg în Partidul Democrat Liberal cu Silviu Prigoană.
Lista creditorilor Rosal: 25,8 milioane de lei
Primăria Ploiești a fost obligată de executorii judecătorești să plătească peste 25,8 milioane lei pentru că Rosal Grup nu și-a plătit la timp furnizorii. Plățile au fost făcute din banii pe care trebuia să îi încaseze firma lui Prigoană în urma colectării gunoiului din oraș.
Directorul Rosal Grup, Bogdan Niculescu, susține că s-a ajuns în această situație pentru că Primăria Ploiești nu a respectat prevederile contractului de salubritate.
Direcția Națională Anticorupție a solicitat mai multe documente atât de la Primăria Ploiești, cât și de la Rosal Grup cu privire la contractele de salubritate.
Contactat de Newsweek România, primarul Ploieștiului Andrei Volosevici, a declarat că „DNA a solicitat documente despre procedura de achiziție din 2017 și un contract încheiat în 2018 cu compania Rosal”.
La rândul său, directorul Rosal, Bogdan Niculescu, a confirmat că s-au solicitat contractele și procesele verbale semnate între compania Rosal și Primăria Ploiești. Dar nu știe ce aspecte vizează ancheta DNA. Însă consideră că, în realitate, compania pe care o conduce este cea prejudiciată.
Bogdan Niculescu, Rosal: „Eu am fost prejudiciat”
„E vorba de un contract cadru care, conform legii, are minime și maxime. Minimele erau de 2,3 milioane lei și maxime de 4 milioane de lei. Primăria ne-a dat programe (lucrări - n.r.) de doar un milion de lei lunar. Aceasta a însemnat o pierdere de 30 de milioane lei până acum.
O a doua problemă, pe acest contract: noi decontăm salariul oamenilor cu 1.500 lei, pentru că atâta a fost în momentul în care am făcut oferta. Între timp, salariul minim a fost mărit la 2.300 lei. Noi, astăzi, muncim în Ploiești cu salariul cu 1.500 lei și pe noi ne costă 2.300 lei. Lună de lună pierdem 800.000 lei. Asta verifică DNA. De abia aștept, de abia aștept”, a declarat Bogdan Niculescu.
Directorul Bogdan Niculescu susține că firma Rosal a făcut patru cereri pentru majorarea contractului pe motiv că s-a mărit salariul minim. Dar, spune el, cererile au fost ignorate de administrația locală.
Mai mult, Primăria Ploiești nu ar fi respectat contractul care prevedea să primească lucrări lunare de minim 2,3 milioane lei.
„Trebuia să primim 2,3 milioane lei lunar pentru că noi treceam o dată pe zi sau o dată pe fiecare stradă, conform cerințelor minime cerute de lege pentru sănătate publică. Nu avem un oraș curat dar, teoretic, aveam un oraș sănătos. Scrie în contract minime și maxime.
În ultimii doi ani de zile, a executat 16 milioane lei. Dacă împărțim la 12 luni nu ne dă 2,3 milioane pe lună. Abuz! Eu nu am prejudiciat pe nimeni, eu am fost prejudiciat conform documentelor. Contractul cu Primăria Ploiești a generat pierderi de 22 milioane lei”, a spus Bogdan Niculescu.
Acesta mai susține că firma Rosal Grup a deschis în jur de 70 de procese prin care solicită recuperarea banilor, plus alte 82 milioane lei fără penalități de la Consiliul Județean Prahova.
Contractul, executat de furnizori
Conform documentelor obținute de Newsweek România, cele două contracte de salubritate ale companiei semnate cu Primăria Ploiești au fost executate de mai mulți furnizori în perioada 2019 - 2020.
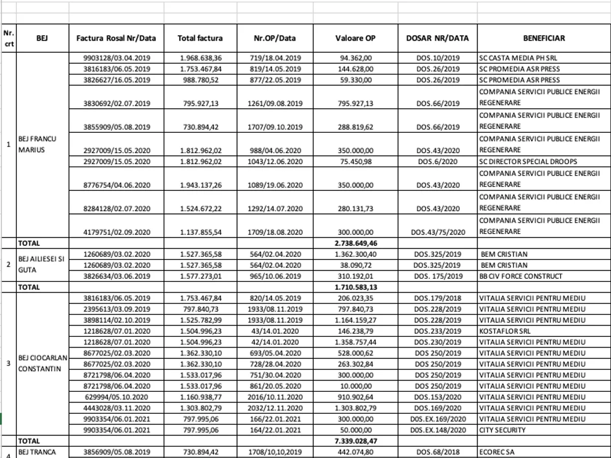
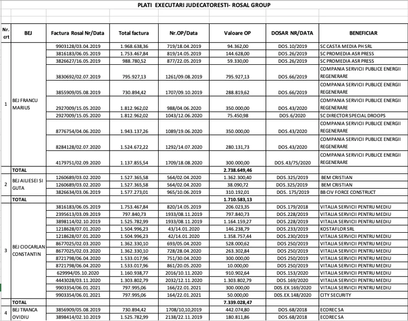
Biroului executorului judecătoresc Frâncu Marius a primit de la Primăria Ploiești 2,738 milioane lei pentru datoriile pe care le avea Rosal către firmele Casta Media PH, Promedia ASR Press și Compania Servicii Publice Energii Regenerare.
BEJ Aliesei și Guță a recuperat 1,71 milioane lei pentru BEM Cristian și BB Civ Force.
Executorul Nicolae Georgescu a obținut 1,33 milioane lei pentru firmele Ripac Real și Rdate Com.
Vitalia nu a prelungit contractul pentru groapa de gunoi
Deșeurile colectate din Ploiești erau duse la groapa de gunoi din județul Prahova deținută de Vitalia Servicii pentru Mediu. Pentru că nu și-au plătit facturile de peste 15 milioane lei, Vitalia a fost nevoită să excute la rândul ei contractul dintre Rosal Grup și Primăria Ploiești.
Mai mult, Vitalia a pus sechestru pe mai multe mașini de colectarea a gunoiului. Astfel, în perioada 2019 - 2020, prin Biroul executoresc Ciocârlan Constantin, compania Vitalia a primit 7,1 milioane lei de la Primăria Ploiești.
Diferența de bani urmează să fie recuperată tot de la Primăria Ploiești. Bonus, din cauza datoriilor cumulate, contractul dintre Rosal și groapa de gunoi nu a mai fost prelungit.
SWO a primit 533.000 lei
Compania Solid Waste Operation, deținută de partenerul de afaceri al lui Bogdan Niculescu, are de recuperat 1,73 milioane de la Rosal Grup.
Însă, pentru că nu și-a primit banii, a executat la rândul ei contractul de salubritate încheiat cu Primăria Ploiești.
Pe 21 ianurie 2021, Primăria Ploiești a plătit puțin peste 533.000 lei, adică în jur de o treime din suma datorată de Rosal Grup către SWO.