„Spor de antenă” la Consiliul Audiovizualului: 1.200 lei pentru directori, 800 lei la consilieri
Una dintre cele mai arbitrare recompense plătite din bani publici continuă să fie acordată chiar și în condițiile epidemiei de coronavirus.
Newsweek România a scris pe larg, anul trecut, despre faptul că zeci de mii de angajați din ministere, primării, prefecturi, Senat și Camera Deputaților primesc, lunar, sute sau chiar mii de lei sporuri pentru că ar munci în condiții periculoase, grele și vătămătoare.
Asta, deși majoritatea lucrează din fața calculatorului ori întrețin clădirile în care muncesc.
Acest spor, luat de angajați care muncesc de la birou, se aplică și în plină epidemie de coronavirus când în România este decretată stare de urgență. Mai puțin celor care lucrează de acasă.
Spor de antenă
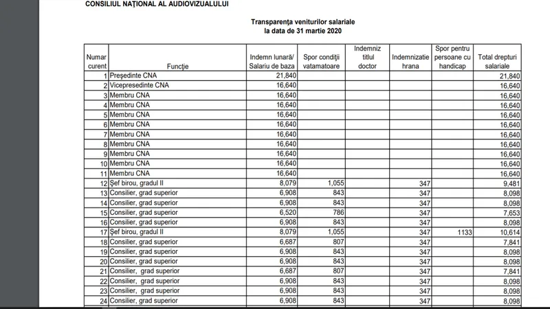
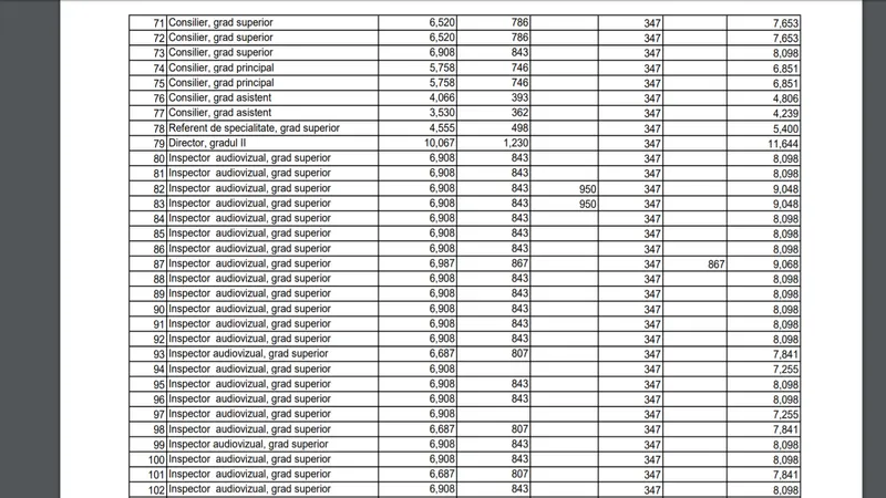
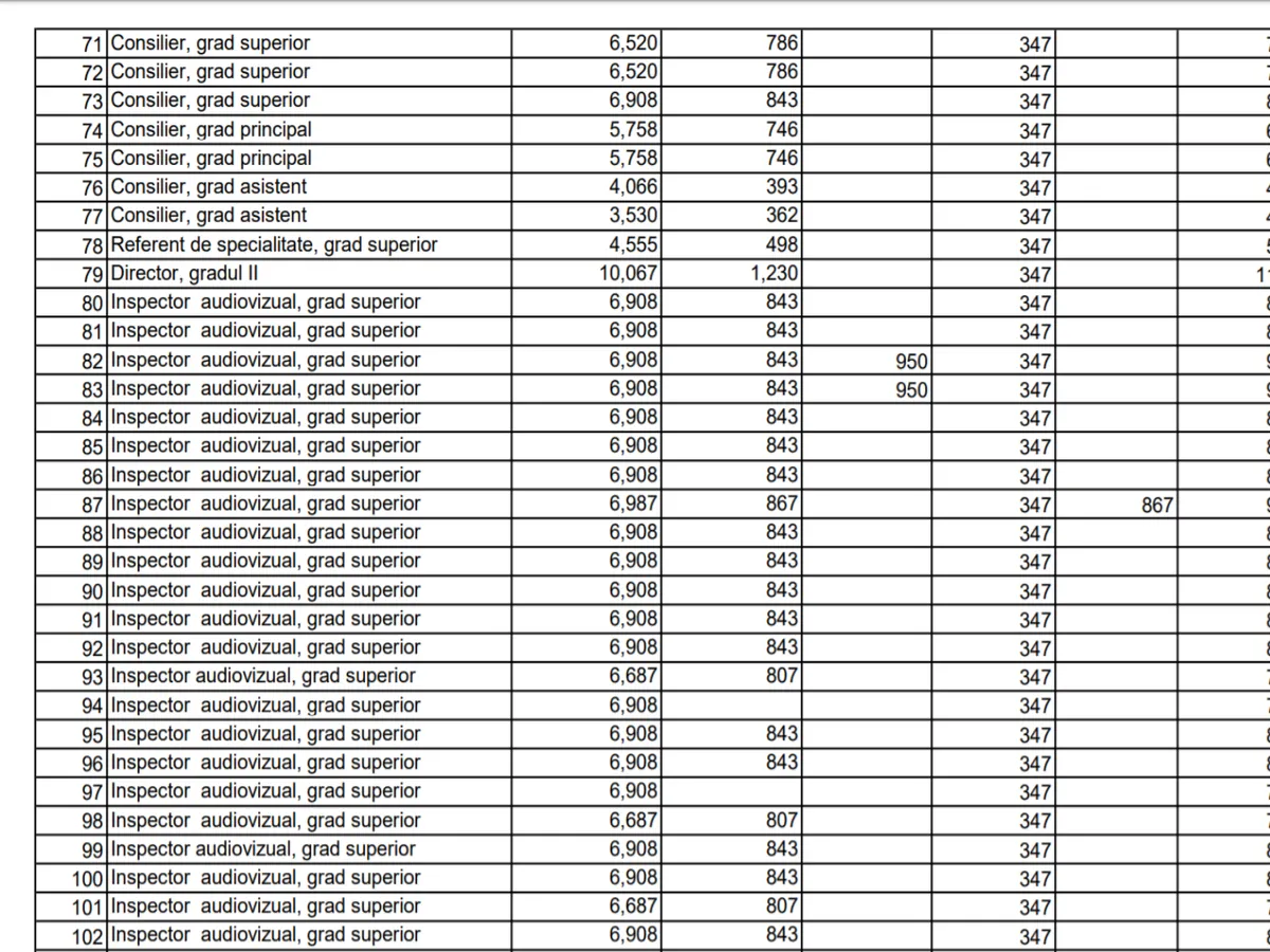
Potrivit documentelor, Consiliul Național al Audiovizualului are 125 de posturi. În afara unui număr de 11 persoane (președintele, vicepreședintele și membri CNA) toți ceilalți angajați primesc sporuri de condiții vătămătoare:
- un consilier primește între 843 de lei și 1.055 de lei,
- șef de birou: 1.195 de lei,
- expert: între 700 și 1.000 de lei,
- un referent: 600 de lei,
- director: 1.200 de lei,
- șofer – 340 de lei spor de lucru în condiții vătămătoare.
Sumele pe care le prezentăm mai jos reprezintă sporurile pentru condiții de muncă vărtămătoare de la 31 martie 2020 când România se afla în Stare de urgență.



Din centrala Consilului Național al Audiovizualului am aflat că: „sporurile de condiții vătămătoare, de antenă, sunt luate și acum dar doar de cei care vin la muncă. Cei care fac monitorizarea și muncesc de acasă, au primit laptopuri și transmit apoi concluziile.
La fiecare direcție există, însă, personal care vine la muncă precum în Departamentul juridic, de exemplu, unde se muncește în ture. Nu vă pot spune procentul celor care muncesc de acasă și câți vin la birou. Dar există angajați care vin la birou așa cum sunt și eu”.
Sporurile pentru condiții vătămătoare sunt luate de personalul care muncește de la birou sau care se ocupă de mentenanța sediului aflat în centrul Bucureștiului. Asta, în timp ce mulți alți angajați din mediul privat sunt în șomaj sau au venituri reduse.
Citește și: Sporurile din Parlament, plătite și în stare de urgență
Care este rolul CNA
Potrivit legii, Activitatea Consiliului este finanțată de la bugetul de stat și din venituri extrabugetare. Însă potrivit Bugetului pe 2020, sursele de finanțare ale CNA sunt 100% de la buget.
Consiliul Naţional al Audiovizualului este este unica autoritate de reglementare în domeniul programelor audiovizuale, o instituţie publică autonomă aflată sub control parlamentar, condusă de un consiliu format din 11 membri. Aceştia sunt numiţi, pentru un mandat de şase ani, de Parlamentul României, la propunerea Senatului (3), a Camerei Deputaţilor (3), a Preşedintelui României (2) şi a Guvernului (3) .
Rolul instituţiei noastre este de a asigura o piaţă a audiovizualului bazată pe libertate de exprimare, pluralism şi liberă concurenţă. În acelaşi timp, CNA trebuie să asigure respectarea de către posturile de televiziune şi radio a normelor privind informarea corectă, viaţa privată, demnitatea umană şi protecţia minorilor.
CNA a avut, adesea, decizii controversate închizând ochii la diverse fake-news-uri promovate de anumite televiziuni.
Ce spune legea
Funcționarii publici și personalul contractual pot beneficia de un spor pentru condiţii periculoase sau vătămătoare de până la 15% din salariul de bază, corespunzător timpului lucrat.
Locurile de muncă, categoriile de personal, mărimea concretă a sporului, precum şi condiţiile de acordare a acestora se stabilesc de ordonatorul principal de credite, având la bază buletinele de determinare sau expertizare, emise de către autorităţile abilitate în acest sens.
Printre motivele ce pot fi invocate pentru acordarea acestui spor sunt: stresul, expunerea la praf, germeni ori bacterii, exercitarea profesiei în fața computerului.