Streinu-Cercel, mai sărac decât Rafila: peste 60.000 euro în conturi, dar și datorii de 100.000 euro
Medicul Adrian Streinu-Cercel, al doilea nume sonor folosit de PSD pentru a-și reface imaginea post-Dragnea, declară o avere mai mică decât colegul său de breaslă, Alexandru Rafila. Cercel candidează pentru un loc de senator.
Cercel are în conturi puțin peste 60.000 de euro și doar două apartamente, spre deosebire de Rafila, care are trei apartamente în Capitală și Voluntari, dar și o casă la Râșnov. Acesta declară și datorii de peste 100.000 de euro, conform declarației de avere.
Citește și: Medicina, afacere bănoasă: Rafila are în conturi sute de mii de euro, iar pe lună - peste 26.000 lei
Adrian Streinu-Cercel nu are nici un teren, are în schimb două apartamente în București. Din al doilea apartament, cumpărat cu un credit bancar în anul 2019, deține jumătate. Nu știm cine deține cealaltă jumătate, deși, potrivit legii, ar fi trebui să completeze și coproprietarul.
Are o mașină Sloda din 2018, cumpărată tot cu credit.

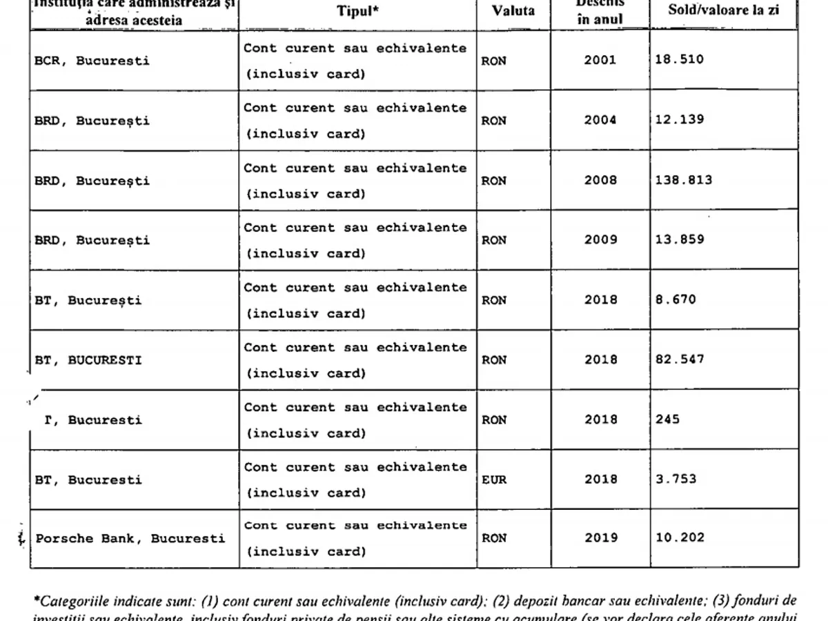
În cont - peste 62.000 de euro, datorii de peste 139.000 euro. Este dator la două persoane fizice cu peste 14.000 de euro
Are nouă conturi, opt în lei și unul în euro, în care are 284.985 de lei (circa 58.500 de euro) și 3.753 de euro, adică în total peste 62.000 de euro.
Adrian Streinu-Cercel declară datorii către două bănci și către două persoane fizice, în total ridicându-se la peste 139.000 de euro.
La bănci are o datorie totală de 125.000 de euro – dintre care un împrumut de peste 35.000 de euro, scadent în 2023 și unul de 90.000 de euro, scadent în 2028. El mai este dator cu 60.000 de lei și 2.000 de euro, adică peste 14.300 de euro.
Citește și: Tratament anti-COVID, folosit ilegal la „Matei Balș”. Agenția Medicamentului: Nu există autorizație
Agenția Medicamentului se sucește: n-a emis autorizație pentru Arbidol, ci avize de donație


Adrian Streinu-Cercel are două locuri de muncă, care îi aduc, lunar, peste 27.300 de lei.
De la Institutul „Matei Balș”, câștigă 161.270 de lei, adică peste 13.400 de lei/lună, iar ca profesor la Universitatea de Medicină și Farmacie „Carol Davila” câștigă 167.408 lei, adică 13.950 de lei/lună.
Șeful Institutului „Matei Balș” mai declară și 100.844 de lei obținuți din contracte privind „activități medicale și proprietate intelectuală, București”.

Investiții de 2 lei
Streinu-Cercel mai declară dividende de 2 lei de la Societatea de Investiții Financiare Muntenia și Oltenia.

Cercel este membru al Fundației „Matei Balș”, al Societății de Boli Infecțioase și HIV/SIDA, al Academiei Europene HIV/SIDA și de Boli Infecțioase, al Colegiului Medicilor, al Academiei de Științe Medicale, al EASL (European Association for the Study of the Liver), RASL (singurul acronim găsit a fost Racing Analyticial Services Limited – cel mai mare laborator independent de testare a medicamentelor din Australia, n.r.) și ESCMID (European Society of Clinical Microbiology and Infectious Diseases), precum și al Societății Naționale Române de Boli Infecțioase.

Adrian Streinu-Cercel a fost dat afară din Comisia științifică anti-COVID din cadrul Ministerului Sănătății în luna aprilie, după ce a apărut un plan elaborat de acesta, care susținea izolarea vârstnicilor de familiile lor, ca măsură de protecție contra coronavirusului.
Citește și: Planul lui Streinu-Cercel: Izolarea în casă, pentru 3 luni, a persoanelor peste 40 de ani